
文章插图
点击下载:广东省2022年普通高考播音与主持粤语类总分分数段统计表(含本、专科层次加分)

文章插图

文章插图

文章插图

文章插图

文章插图

文章插图

文章插图
高考各批次如何投档?
各批次各类型院校实行院校专业组投档录取模式 。普通类分物理、历史两类分开划线,分开投档录取;艺体类不分物理、历史按计划类别统一划线,一起投档录取 。
(1)普通类专业依据语文、数学、外语3门全国统一高考科目成绩和考生选择的3门广东省普通高中学业水平选择性考试科目成绩,参考综合素质评价择优录取;艺体类专业依据语文、数学、外语3门全国统一高考科目成绩和考生选择的3门广东省普通高中学业水平选择性考试科目成绩及相应专业术科成绩,参考综合素质评价择优录取 。投档时,省招办将学生综合素质评价情况提供给招生院校 。综合素质评价情况具体使用办法由招生院校在招生章程中予以明确 。
(2)符合高校专项计划、高水平艺术团、高水平运动队、综合评价等特殊类型招生资格,且高考成绩达到相应控制线的考生,全部投档给院校,由院校按照招生章程公布的原则进行录取 。
(3)不安排分省分专业招生计划的院校专业组,投档时不含政策性加分 。
(4)录取时,因生源不足产生的空额计划,要在征集志愿录取时,结合生源情况研究决定 。
什么是平行志愿?
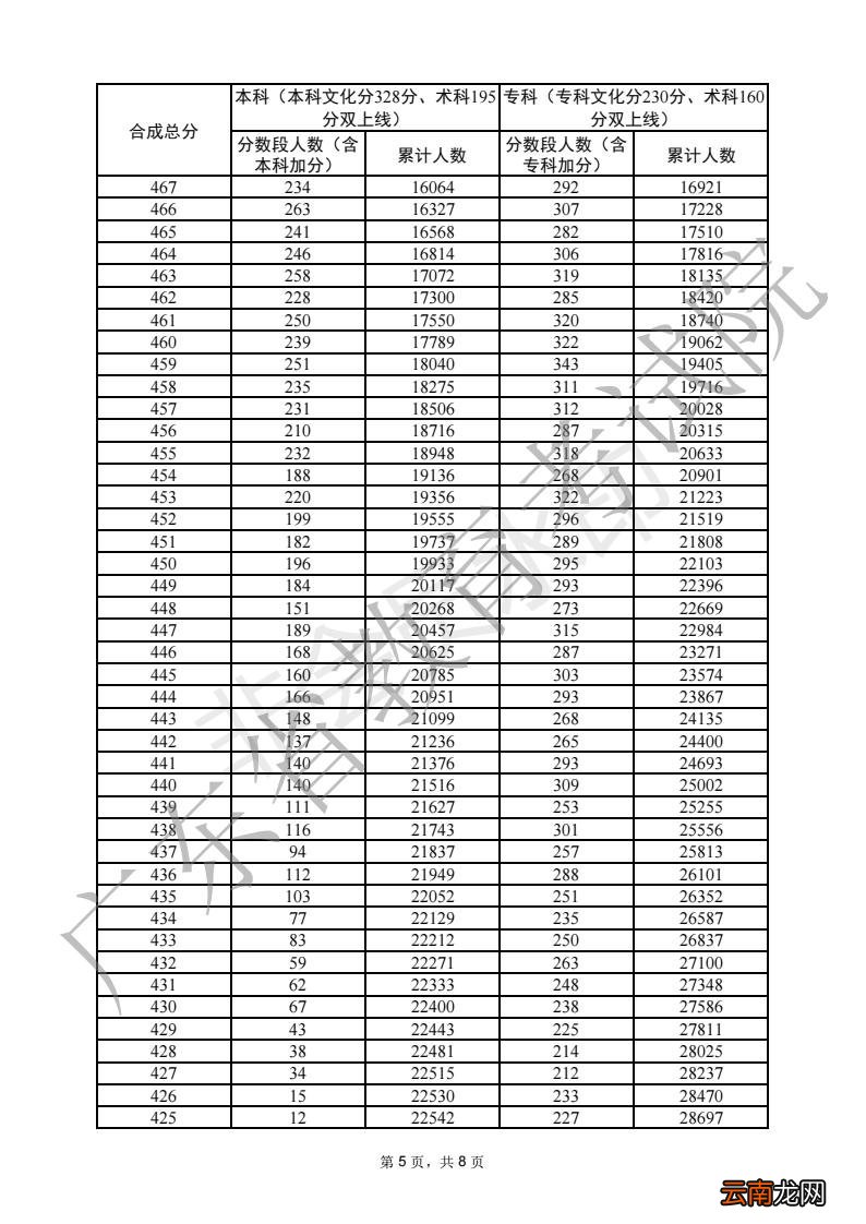
【2022广东普通高考播音与主持粤语类总分分数段统计表】院校专业组平行志愿投档是以院校专业组为投档单位,按照“分数优先、遵循志愿”的原则进行投档 。平行志愿投档时,按考生投档分从高分到低分排序,依次检索考生所填院校专业组志愿 。只要考生所填报的院校专业组志愿中被检索到符合投档条件的院校专业组,即向该院校专业组投档 。投档后,其他所填报的院校专业组无效 。如没有出现符合投档条件的院校专业组,则不能投档 。上述过程完成后,无论档案是否投出,均视为该考生已完成了本批次平行志愿投档 。如果考生档案投档到某院校专业组后,因故被退出,将不再补投到该批次平行志愿的其他院校专业组 。
- 甜品店的优势与劣势swot分析,甜品店的优势与劣势swot分析?
- 老龄化服务创业项目,老龄化服务创业项目经验分享?
- 产品代理销售方案,产品代理销售方案策略分析?
- cps推广是什么意思,cps推广名词含义解释?
- 毕业论文初稿要写到什么程度,毕业论文初稿要写到什么程度及出现的问题?
- 淘宝客推广,淘宝客推广定义攻略?
- 10元店进货渠道,10元店进货渠道如何选品?
- 免费入驻的卖货平台,免费入驻的卖货平台有哪些?
- 创业团队主要五个职务,抖音运营创业团队主要五个职务?
- 淘宝网客服,淘宝网客服的话术技巧?
