
文章插图
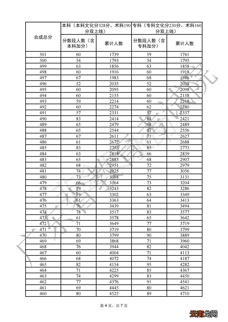
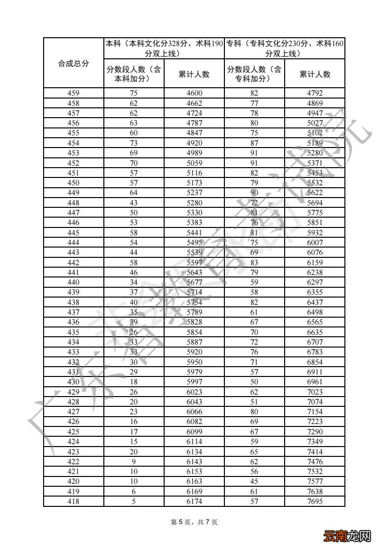
点击下载:广东省2022年普通高考音乐学类总分分数段统计表(含本、专科层次加分)

文章插图

文章插图

文章插图

文章插图

文章插图

文章插图

文章插图
志愿填报时,考生选考科目如何对应高校选考要求?
高校依据教育部有关要求,提出本校招生专业(类)的选考科目要求,考生应对照高校招生专业(类)的选考科目要求,精准报考 。
一是考生的首选科目须符合高校对首选科目的要求 。选考物理的考生只能填报物理科目组合下的院校和专业,选考历史的考生只能填报历史科目组合下的院校和专业 。
二是再选科目要求 。高校对再选科目的要求分为四种:
(1)不提再选科目要求的,符合首选科目要求的考生均可报考 。
(2)提出1门再选科目要求的,考生必须选考该科目方可报考 。如某校某专业对化学科目提出要求,符合首选科目要求且选考化学的考生才能报考 。
(3)提出2门再选科目要求且均须选考的,考生须同时选考这2门科目方可报考 。如某校某专业对化学和生物学科目提出要求,符合首选科目要求且同时选考化学和生物学科目的考生才能报考 。
(4)提出2门再选科目要求但只需选考其中1门的,考生选考该2门科目中的任意1门即可报考 。如某校某专业要求考生选考化学或生物学科目,符合首选科目要求且只要选考科目中有化学或生物学科目的考生即可报考 。
【2022广东普通高考音乐学类总分分数段统计表(一分一段)】考生可通过广东省教育考试院在填报志愿前编制的《广东省2022年普通高等学校招生专业目录》(简称《招生专业目录》)查询各在粤招生高校院校专业组的选考科目要求 。
- 甜品店的优势与劣势swot分析,甜品店的优势与劣势swot分析?
- 老龄化服务创业项目,老龄化服务创业项目经验分享?
- 产品代理销售方案,产品代理销售方案策略分析?
- cps推广是什么意思,cps推广名词含义解释?
- 毕业论文初稿要写到什么程度,毕业论文初稿要写到什么程度及出现的问题?
- 淘宝客推广,淘宝客推广定义攻略?
- 10元店进货渠道,10元店进货渠道如何选品?
- 免费入驻的卖货平台,免费入驻的卖货平台有哪些?
- 创业团队主要五个职务,抖音运营创业团队主要五个职务?
- 淘宝网客服,淘宝网客服的话术技巧?
