
文章插图
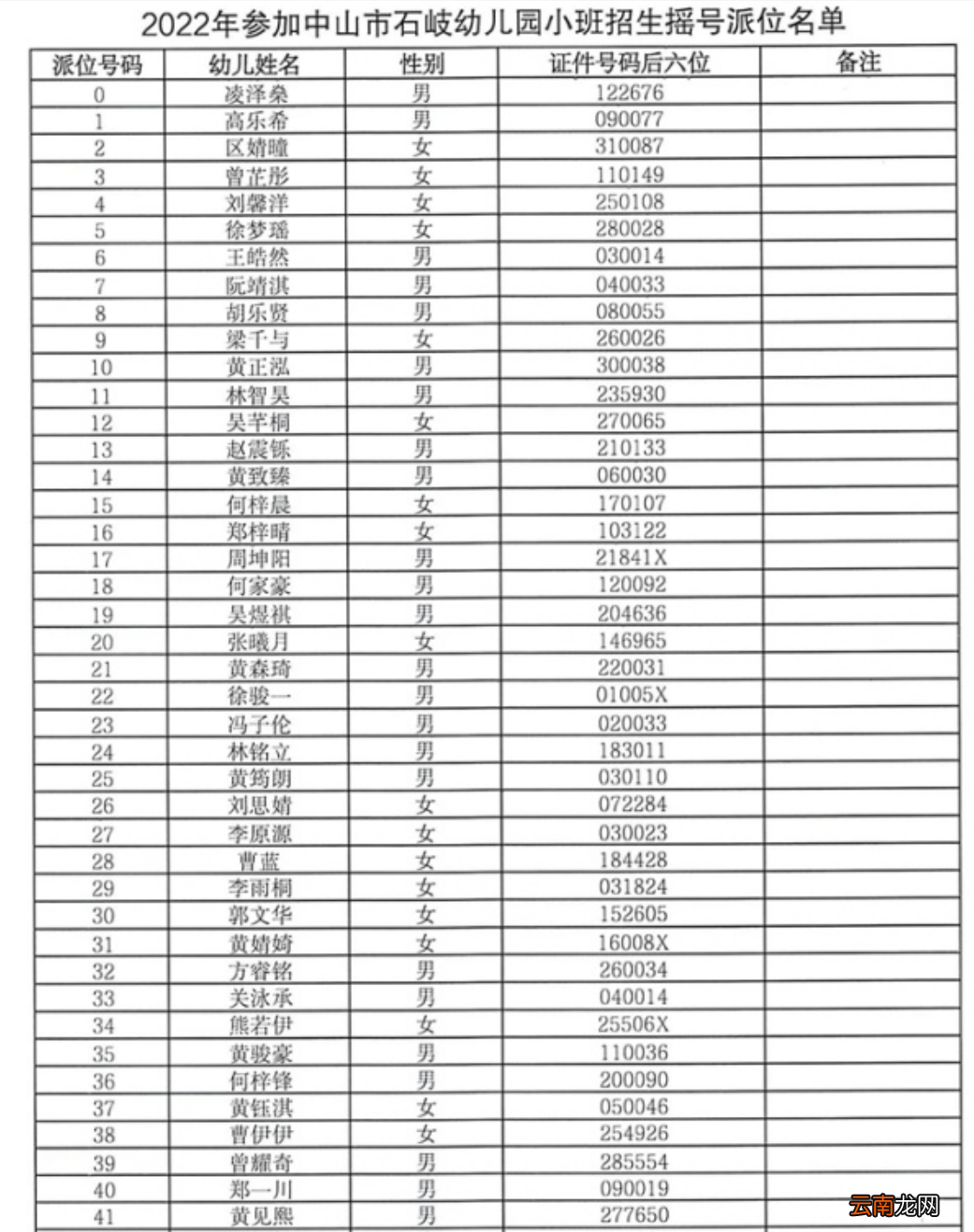
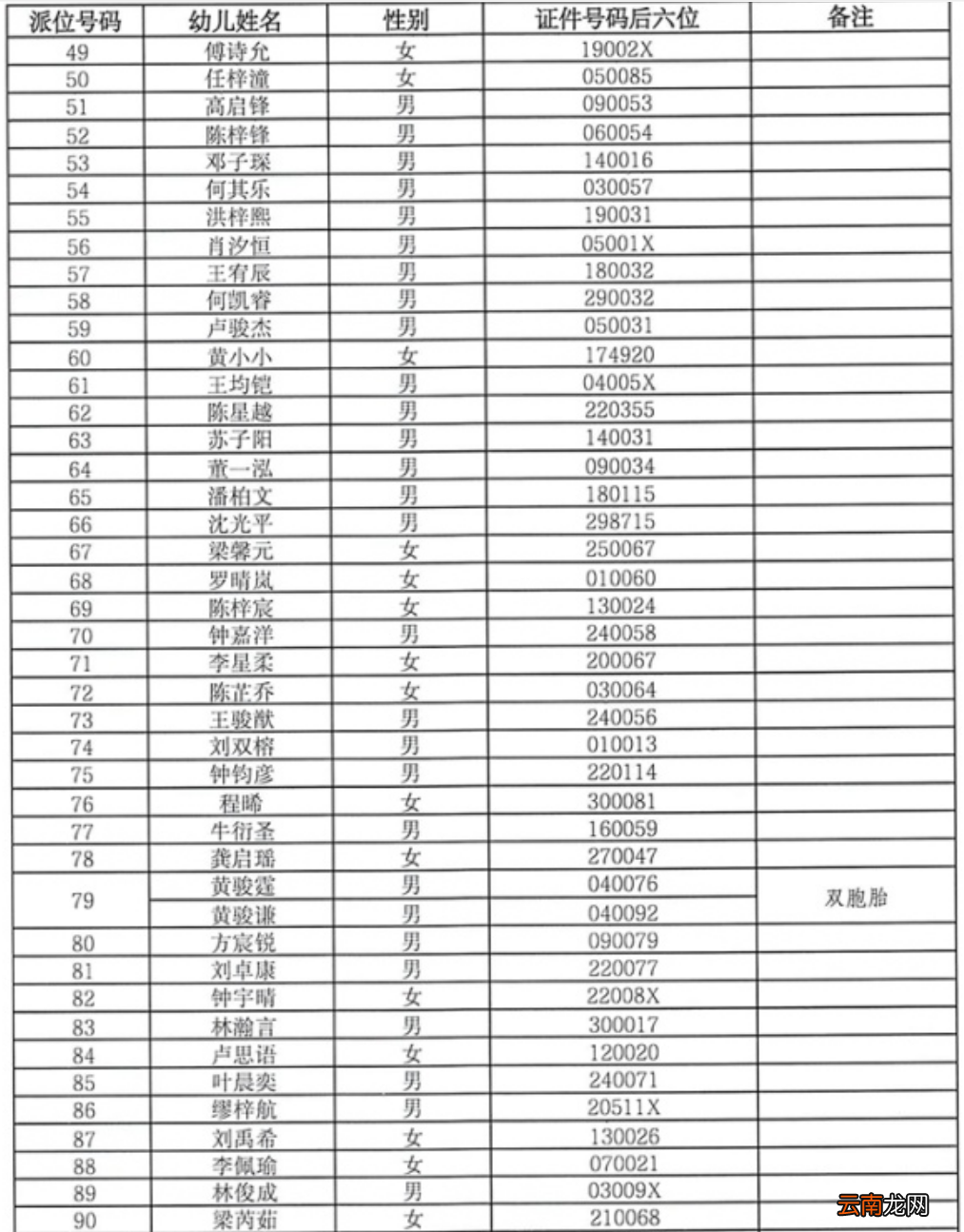
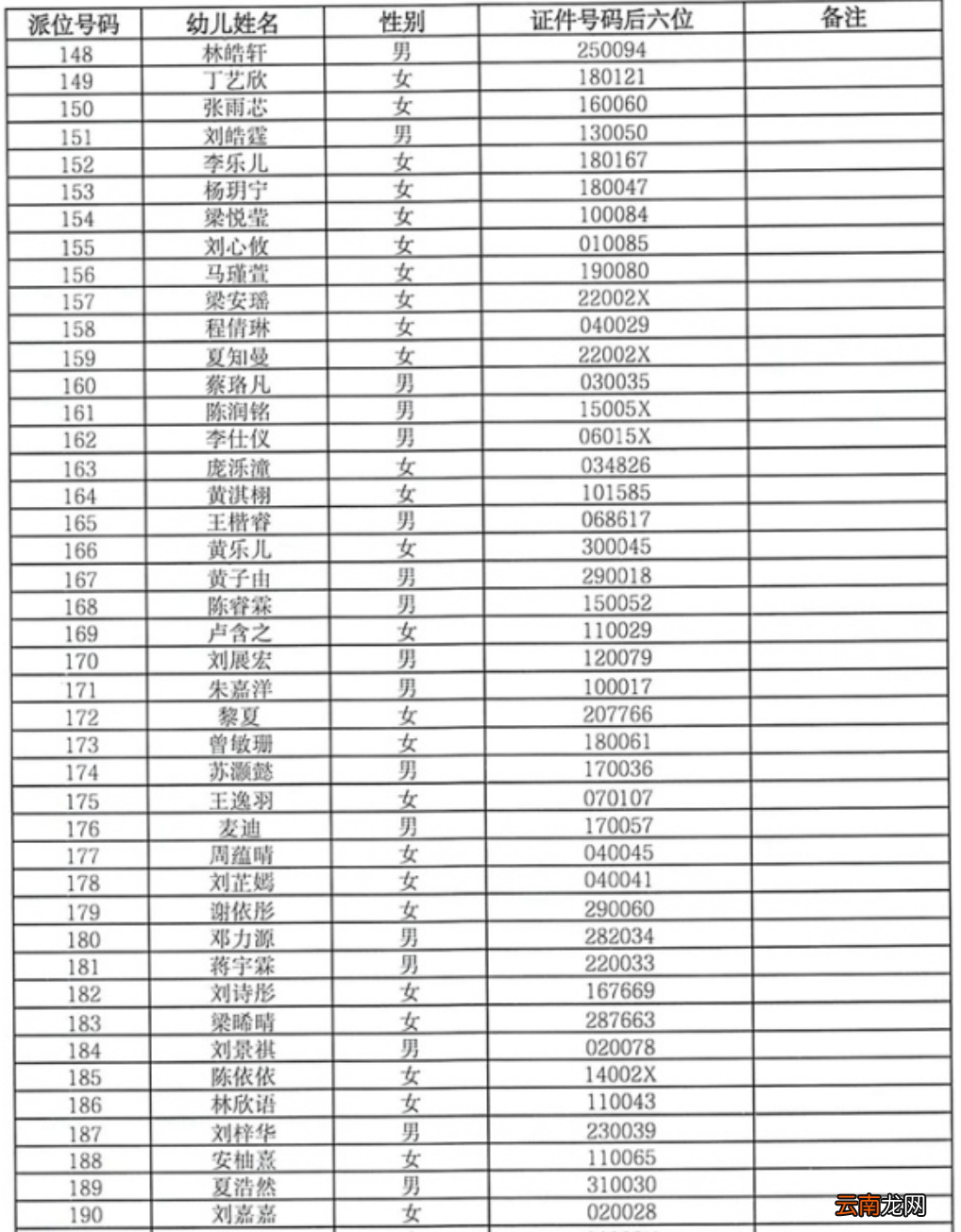
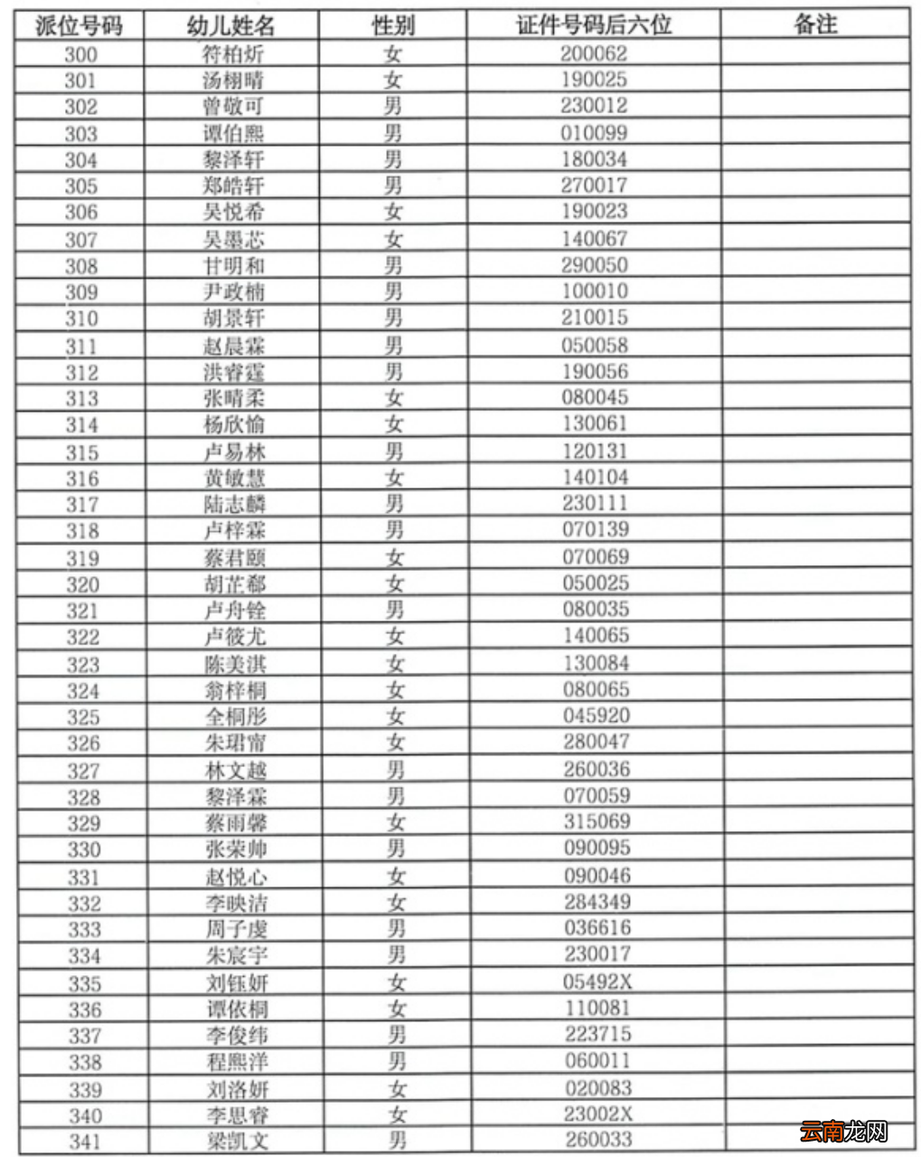
2022年中山市石岐幼儿园小班招生摇号派位名单
根据《2022年秋季学期中山市石岐幼儿园招生简章》 , 经审核,符合参加中山市石岐幼儿园招生摇号派位条件的适龄儿童共346人 , 现将名单和派位号码(双胞胎编制为同一派位号码)予以公示 , 公示期为2022年6月7日至2022年6月9日 。公示期间 , 如有异议 , 可于2022年6月9日下午4:00前(上班时间内),书面上报本幼儿园(电话:88874431).我园将根据异议情况 , 核实有异议幼儿的资料 。逾期没有收到异议 , 我园将视为无异议 。

文章插图

文章插图

文章插图

文章插图

文章插图

文章插图

文章插图

文章插图

文章插图

文章插图

文章插图

文章插图
【中山市石岐幼儿园小班招生摇号派位名单】

文章插图
- 甜品店的优势与劣势swot分析,甜品店的优势与劣势swot分析?
- 老龄化服务创业项目,老龄化服务创业项目经验分享?
- 产品代理销售方案,产品代理销售方案策略分析?
- cps推广是什么意思,cps推广名词含义解释?
- 毕业论文初稿要写到什么程度,毕业论文初稿要写到什么程度及出现的问题?
- 淘宝客推广,淘宝客推广定义攻略?
- 10元店进货渠道,10元店进货渠道如何选品?
- 免费入驻的卖货平台,免费入驻的卖货平台有哪些?
- 创业团队主要五个职务,抖音运营创业团队主要五个职务?
- 淘宝网客服,淘宝网客服的话术技巧?
