
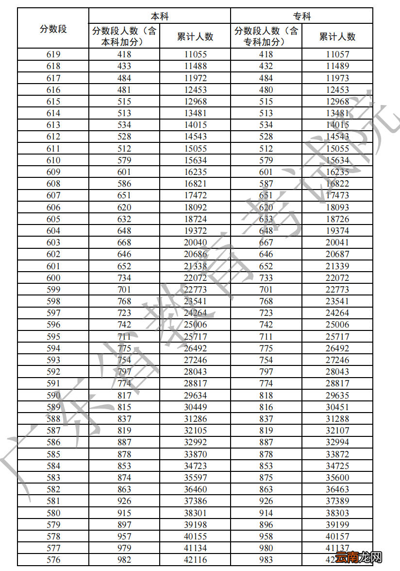
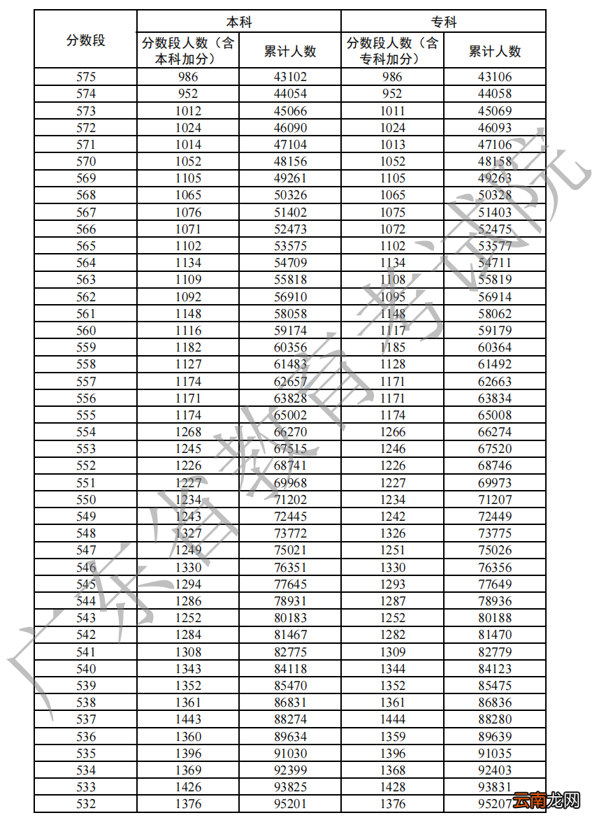
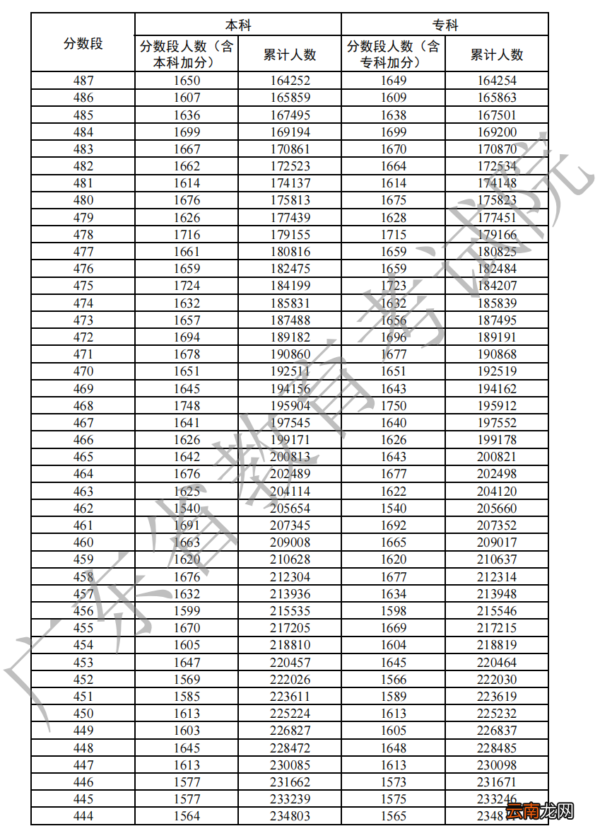
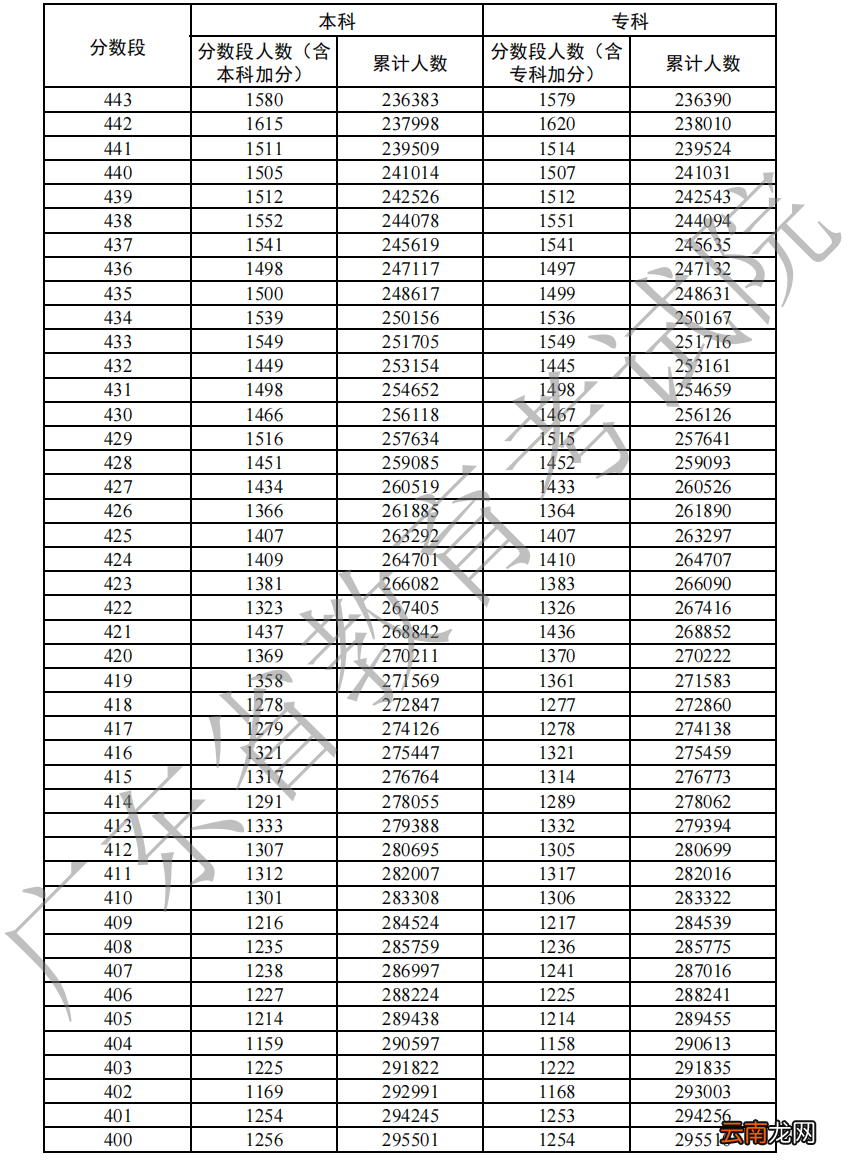
文章插图
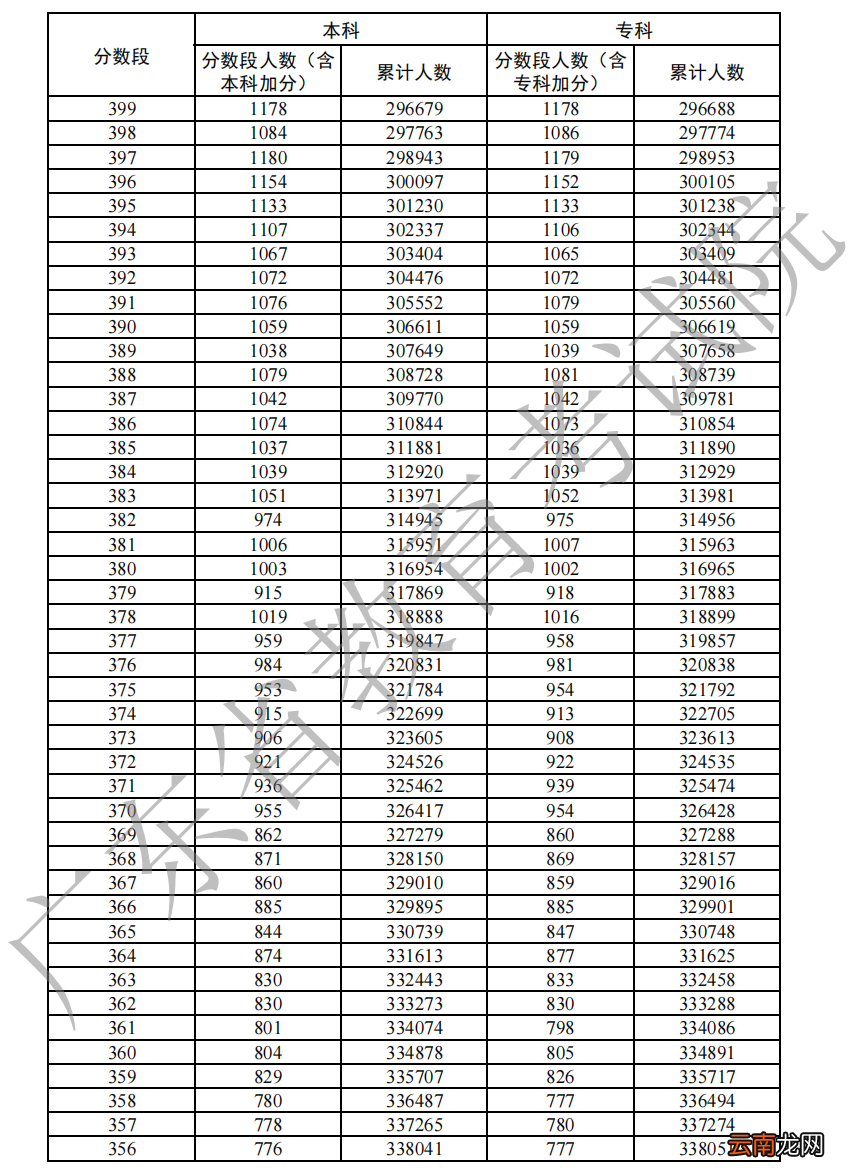
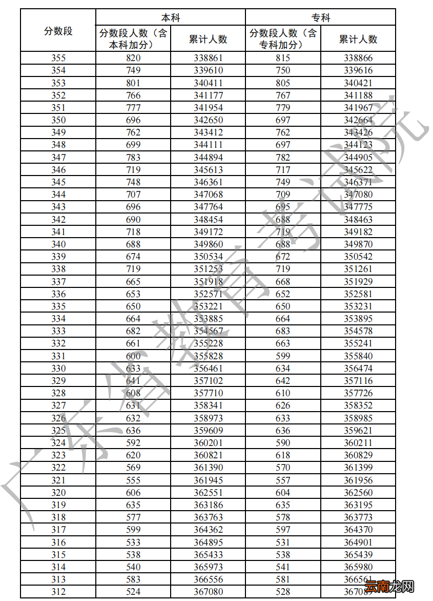
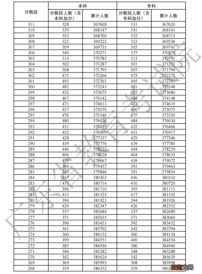
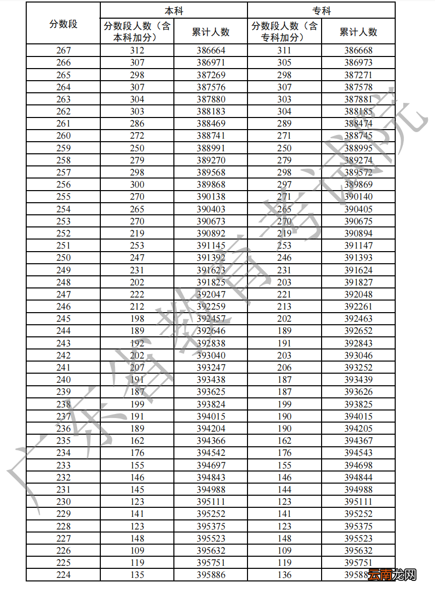
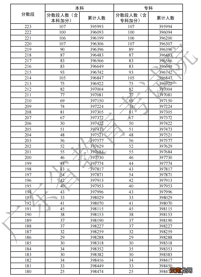
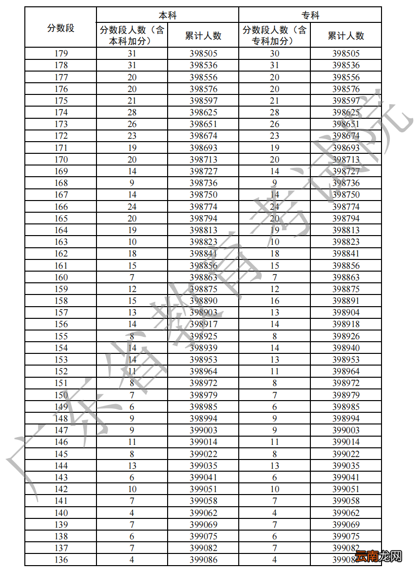
2022年广东高考普通类(物理)分数段统计(一分一段表)

文章插图

文章插图

文章插图

文章插图

文章插图

文章插图

文章插图

文章插图

文章插图

文章插图

文章插图

文章插图

文章插图

文章插图
扩展阅读
平行志愿投档时如何进行排序?
答:1.按类别根据考生高考成绩合成总分(含政策性加分)从高到低确定投档位序 。合成总分(含政策性加分)相同时 , 比较“3+1+2”考试科目总分(不含政策性加分)高低 , 高者优先 。
2.“3+1+2”考试科目总分(不含政策性加分)仍相同时 , 按以下原则进行排列:
第1位序 , 比较语文加数学两门合计成绩高低 , 高者优先 。
第2位序 , 比较语文和数学两门中的单科较高成绩高低 , 高者优先 。
第3位序 , 比较外语成绩高低 , 高者优先 。
第4位序 , 普通类专业按选考物理、历史分开两类比较物理或历史成绩高低 , 高者优先;艺体类专业比较术科统考成绩高低 , 高者优先 。
第5位序 , 比较两门再选科目中的单科较高成绩高低 , 高者优先 。
第6位序 , 比较两门再选科目中的单科次高成绩高低 , 高者优先 。
【2022年广东高考物理一分一段表】第7位序 , 单科成绩均相同的同时投档 。
- 甜品店的优势与劣势swot分析,甜品店的优势与劣势swot分析?
- 老龄化服务创业项目,老龄化服务创业项目经验分享?
- 产品代理销售方案,产品代理销售方案策略分析?
- cps推广是什么意思,cps推广名词含义解释?
- 毕业论文初稿要写到什么程度,毕业论文初稿要写到什么程度及出现的问题?
- 淘宝客推广,淘宝客推广定义攻略?
- 10元店进货渠道,10元店进货渠道如何选品?
- 免费入驻的卖货平台,免费入驻的卖货平台有哪些?
- 创业团队主要五个职务,抖音运营创业团队主要五个职务?
- 淘宝网客服,淘宝网客服的话术技巧?
