
文章插图
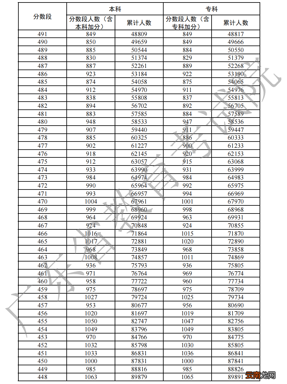
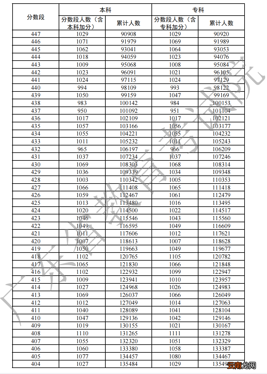
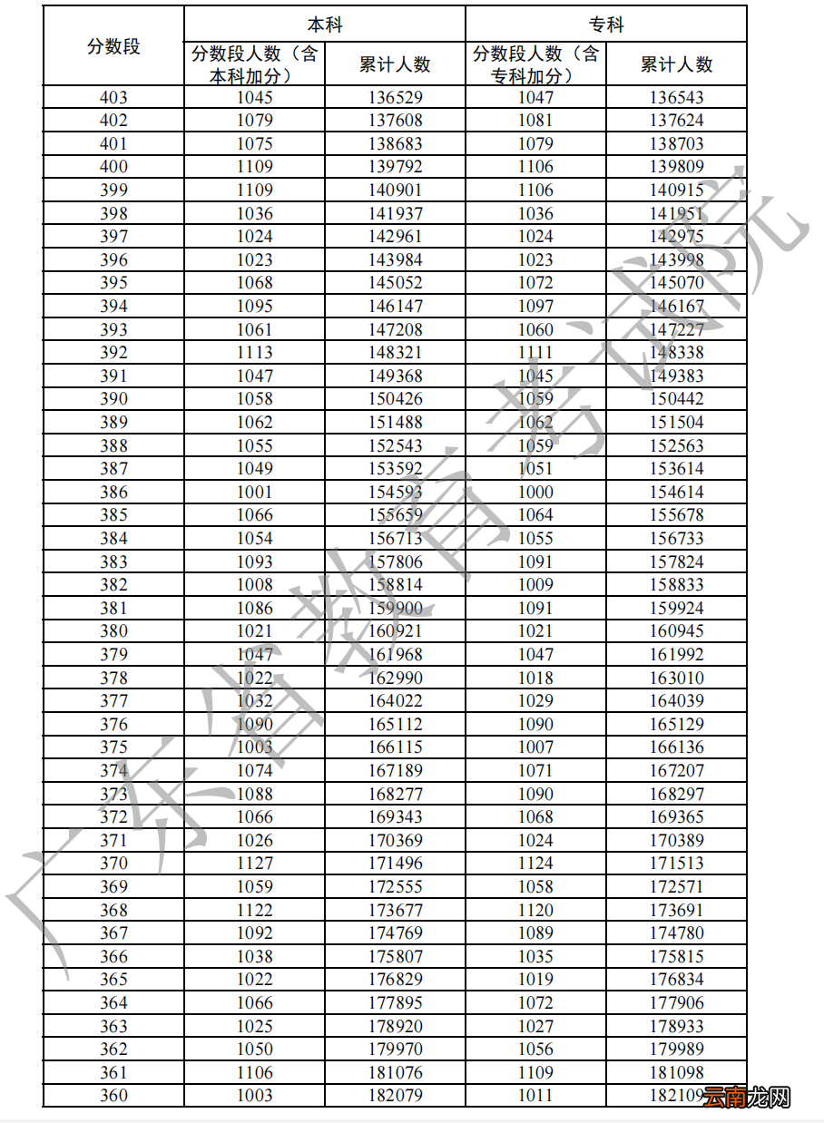
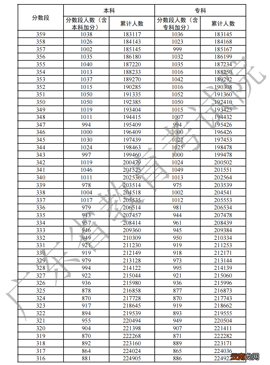
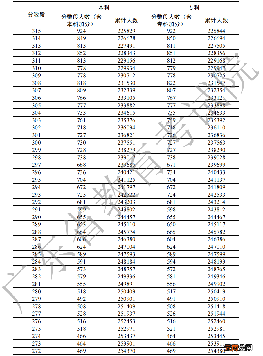
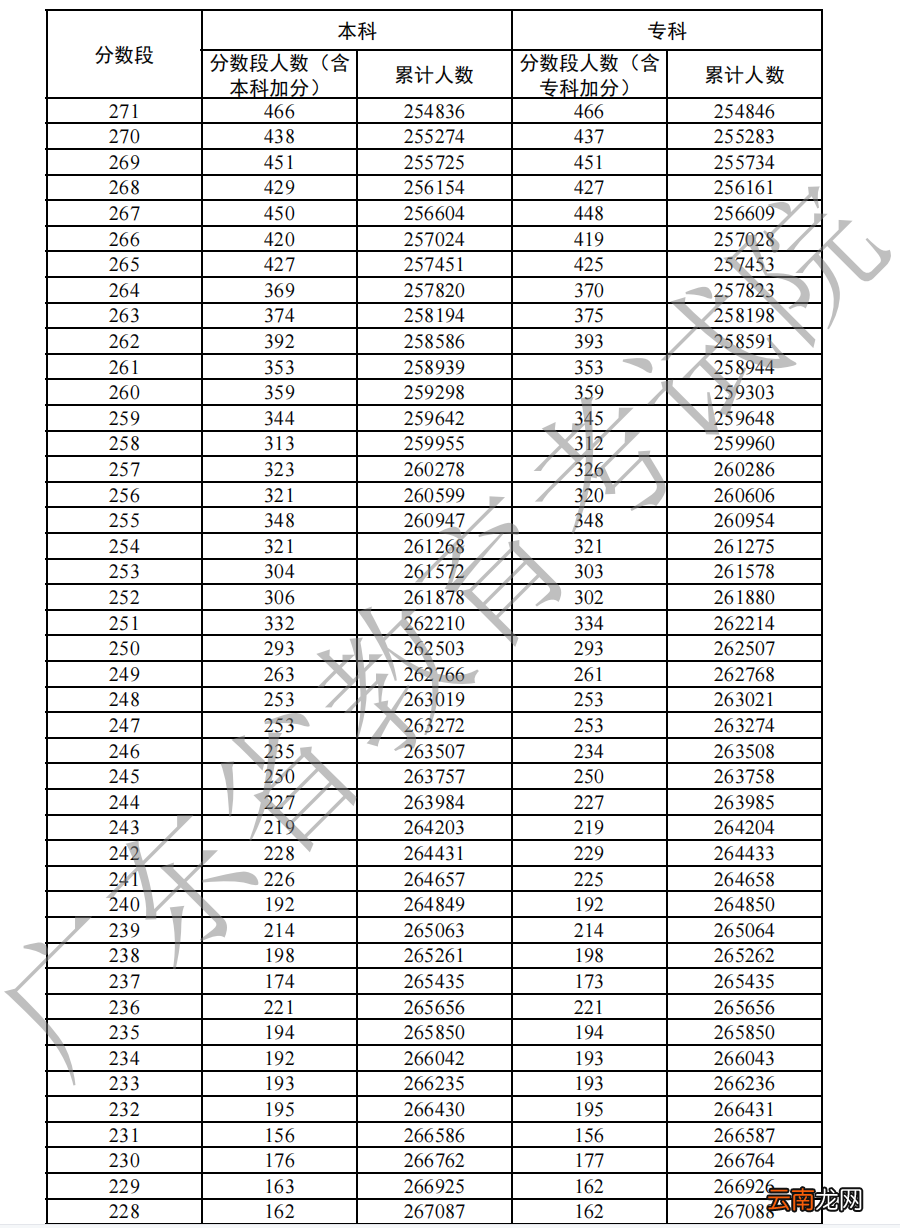
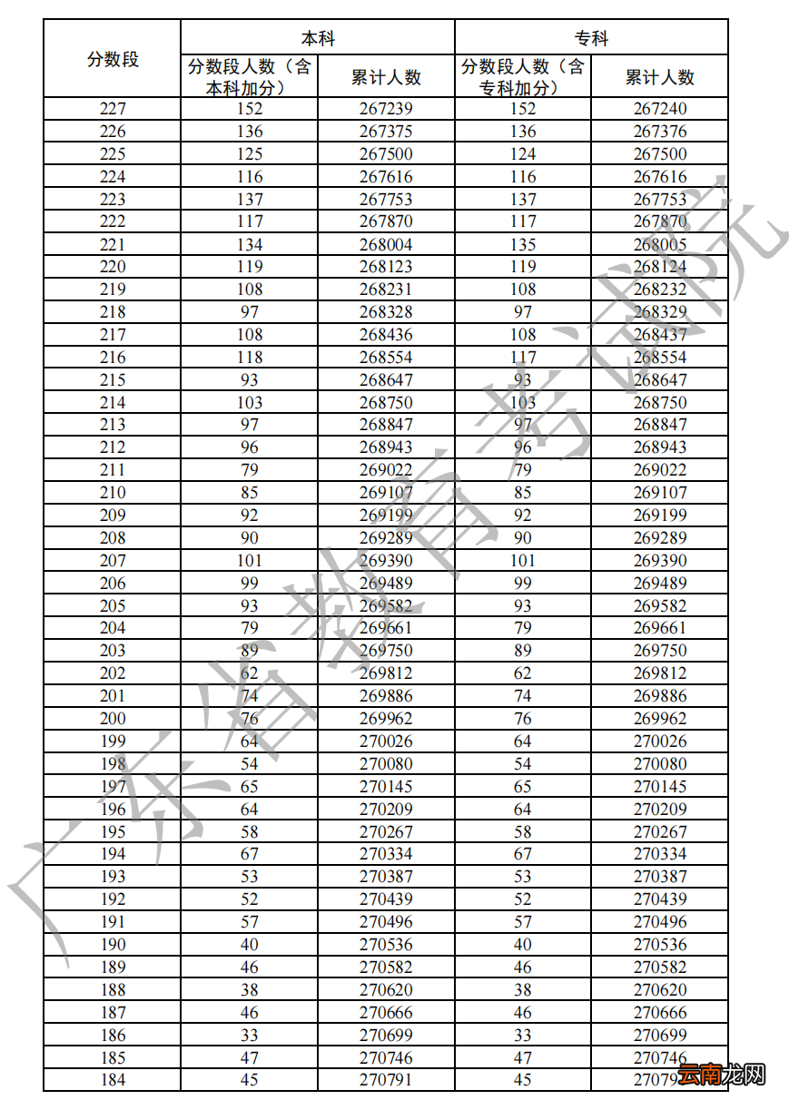
2022年广东高考普通类(历史)分数段统计(一分一段表)

文章插图

文章插图

文章插图

文章插图

文章插图

文章插图

文章插图

文章插图

文章插图
【2022年广东高考历史一分一段表】

文章插图

文章插图

文章插图

文章插图
扩展阅读
什么是平行志愿?
答:院校专业组平行志愿投档是以院校专业组为投档单位,按照“分数优先、遵循志愿”的原则进行投档 。平行志愿投档时,按考生投档分从高分到低分排序,依次检索考生所填院校专业组志愿 。只要考生所填报的院校专业组志愿中被检索到符合投档条件的院校专业组,即向该院校专业组投档 。投档后,其他所填报的院校专业组无效 。如没有出现符合投档条件的院校专业组,则不能投档 。上述过程完成后,无论档案是否投出,均视为该考生已完成了本批次平行志愿投档 。如果考生档案投档到某院校专业组后,因故被退出,将不再补投到该批次平行志愿的其他院校专业组 。
- 甜品店的优势与劣势swot分析,甜品店的优势与劣势swot分析?
- 老龄化服务创业项目,老龄化服务创业项目经验分享?
- 产品代理销售方案,产品代理销售方案策略分析?
- cps推广是什么意思,cps推广名词含义解释?
- 毕业论文初稿要写到什么程度,毕业论文初稿要写到什么程度及出现的问题?
- 淘宝客推广,淘宝客推广定义攻略?
- 10元店进货渠道,10元店进货渠道如何选品?
- 免费入驻的卖货平台,免费入驻的卖货平台有哪些?
- 创业团队主要五个职务,抖音运营创业团队主要五个职务?
- 淘宝网客服,淘宝网客服的话术技巧?
