
文章插图
《群星》科学与人口的关系很大,一直没有具体结论出来,小编带来详细解析,一起看下一吧 。

文章插图
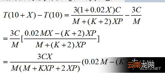
我们假设研究理科文科工科科技各一项,每项需要的点数为C,10人口时总共需要3C点数
每多一个人口加2%的科研点需求,我们假设多了X人
目前研各研究一项科技所需要科研点数为3(1+0.02X)C
我们假设新增加的X人中,其中比例为P的人在实验室进行研究,每个满级研究室提供7点研究点
也就是这X人提供了(K+2)XP的研究点数 。其中K为实验室等级
设一开始10人口提供的研究点数为M
于是有

文章插图
其中T(10+X)为人口为10+X时研发三种科技耗时,T(10)为十人口以下时研发科技耗时
C为一项科技自身需要的点数
M为10人口时固有的科技点数
K为实验室等级
X为超过10人口的人口量
从结论上来说,只要0.02M-(K+2)P<0,那么科技研发就变快了
也就是说当P>0.02M/(K+2)时,科技研发会变快
懒人福利:
结论,Y>(10+X)*0.02M/(K+2)时,科技研发速度变快,反之变慢
Y为在实验室的人口,(10+X)为总人口,M为非人口的科研产量,K为实验室最大等级 。
从这个公式中可以得到的结论
1.人口多了,请多放点在实验室干活的人,否则你的研究速度确实会被拖慢
2.如果小国有很多星际研究站,你想要追赶他的科研速度会变得困难
3.星际科研站越多,保持原有的科研速度就需要越多的科研人员
4.更高级的实验室可以让你减少从事科研人员的数量来生产矿和电
举个例子
总人口100人
太空研究站产出科研量25点,加上自带15点,共计40点
实验室最大等级2级
至少要有20人在实验室工作才能保证科研速度不慢于默认速度
【《群星》科学与人口关系详解】
- 甜品店的优势与劣势swot分析,甜品店的优势与劣势swot分析?
- 老龄化服务创业项目,老龄化服务创业项目经验分享?
- 产品代理销售方案,产品代理销售方案策略分析?
- cps推广是什么意思,cps推广名词含义解释?
- 毕业论文初稿要写到什么程度,毕业论文初稿要写到什么程度及出现的问题?
- 淘宝客推广,淘宝客推广定义攻略?
- 10元店进货渠道,10元店进货渠道如何选品?
- 免费入驻的卖货平台,免费入驻的卖货平台有哪些?
- 创业团队主要五个职务,抖音运营创业团队主要五个职务?
- 淘宝网客服,淘宝网客服的话术技巧?
